CEA CAR-T攻克难治性肝转移,CEA平均降37%,多线转移者生存近2年
小编 2025-09-17
CEA CAR-T治疗难治性肝转移,CEA平均降37%,多线转移者生存近2年
《临床癌症研究》杂志报道了一项I期肝脏转移免疫治疗(HITM)试验(NCT01373047),旨在评估抗CEA CAR-T细胞通过肝动脉输注(HAI)方式治疗CEA阳性肝转移患者的疗效。结果显示,该疗法安全性良好,且在经多线治疗且肿瘤负荷较重的患者群体中展现出令人鼓舞的临床活性。
这一突破意义重大:它不仅为既往治疗选择有限的晚期CEA阳性肝转移患者带来了全新生存曙光,更验证了CAR-T疗法在实体瘤转移灶治疗中的应用潜力。随着后续更大规模临床试验的推进,这款精准靶向的免疫疗法有望进一步优化疗效、惠及更多患者,为肝转移癌症的治疗开辟出更高效、更安全的新路径!
▲截图源自“AACR”
CEA凭借高表达成CAR-T理想靶点,高效对抗肝转移
癌胚抗原(CEA)是一种分子量为180kDa的糖蛋白,属于免疫球蛋白超家族的肿瘤相关蛋白,在多种上皮癌中存在过表达,尤其以结直肠腺癌最为典型;同时,它也表达于胃肠道的多种正常上皮细胞,其中在结肠隐窝上三分之一处的高分化上皮细胞中表达最为显著。
肝转移(LM)是胃肠道腺癌患者发病和死亡的主要原因。嵌合抗原受体(CAR)修饰的T细胞能够高度特异性地识别并杀伤肿瘤细胞,而CEA因表达水平高且血清CEA可检测,成为CAR-T治疗腺癌肝转移的理想靶点。抗CEA CAR-T细胞识别靶抗原后,会通过增殖、分泌细胞因子来发挥杀伤靶细胞的作用。
多线治疗失败别放弃!CEA CAR-T在多线进展肝转移患者中展现强劲活性,CEA平均降37%,1例存活23个月
该研究共纳入6例无法切除的CEA阳性腺癌肝转移(LM)患者,均为接受平均2.5线(范围2-4线)常规全身治疗后进展的患者。其中5例为IV期结直肠癌,1例为胰胆壶腹部癌;患者平均年龄57岁(范围51-66岁),疾病负担较重——肝转移灶最大平均直径达8.4cm(范围1.7-14.4cm),5例患者肝转移灶超过10个,入组时平均血清CEA水平为807ng/ml(范围2-3265ng/ml)。
研究将患者分为两组:第1组接受肝动脉输注(HAI)CAR-T细胞治疗,不联合IL-2;第2组接受CAR-T细胞+全身性持续IL-2输注。
结果显示:6例患者平均总生存期为30周,中位总生存期(OS)为15周(范围:8-102周)。
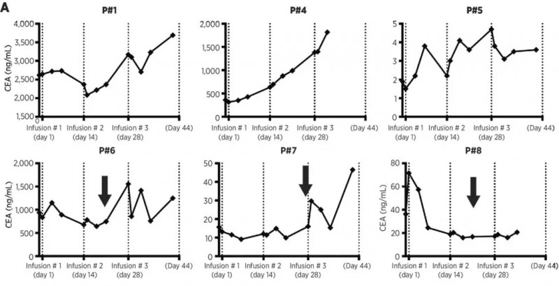
1、CEA变化:第2组接受IL-2支持的患者,血清CEA水平较基线平均下降37%(范围:19%-48%),且所有3例患者均出现CEA下降;第1组有2例患者在每次CAR-T肝动脉输注后,均出现血清CEA短暂下降(详见下图)。
▲图源“Clin Cancer Res”,版权归原作者所有,如无意中侵犯了知识产权,请联系我们删除
2、病理与分子指标:6例患者中有4例经活检发现淋巴结坏死或纤维化增多;血清IFNγ水平升高与IL-2治疗及CEA下降存在相关性。
值得一提的是,其中两例患者的治疗效果引起了广泛关注:
其中1例患者(5号患者)在CAR-T肝动脉输注治疗后23个月(102周)仍存活且病情稳定,该患者在试验结束后,对残留的无法切除肿瘤进行了微波消融治疗。该患者经MRI和PET检查显示病情稳定(SD)(详见下图A,箭头)。
▲图源“Clin Cancer Res”,版权归原作者所有,如无意中侵犯了知识产权,请联系我们删除
另一例患者(7号患者)虽出现新病灶且部分原有病灶增大,但其他病灶均缩小——MRI显示缩小的后部病灶在PET上已不可见(详见下图B),内侧更多缩小病灶在PET上呈低代谢表现。
▲图源“Clin Cancer Res”,版权归原作者所有,如无意中侵犯了知识产权,请联系我们删除
综上,该研究证实了抗CEA CAR-T疗法的安全性,并在经多线治疗、肿瘤负荷较重的患者群体中展现出令人鼓舞的临床活性。
小编寄语
CEA CAR-T堪称实体瘤CAR-T研究领域的标杆。从临床数据来看,其安全性表现尤为亮眼:无论是在结直肠癌还是肺癌的临床研究中,均未出现3级以上细胞因子风暴或神经毒性;即便出现腹泻等常见副作用,经激素治疗后也能快速缓解。
好消息是,目前国内多家癌症中心正开展CEA CAR-T临床试验,晚期耐药、术后高危等患者均可提交病历评估入组资格。想寻求CAR-T、TCR-T、TIL等细胞疗法及其他国内外治疗新技术帮助的患者,可将治疗经历、影像学检查结果等,提交至医学部,进行初步评估。
参考资料
[1]Katz SC,et al.Phase I Hepatic Immunotherapy for Metastases Study of Intra-Arterial Chimeric Antigen Receptor-Modified T-cell Therapy for CEA+ Liver Metastases. Clin Cancer Res. 2015 Jul 15;21(14):3149-59.
https://pmc.ncbi.nlm.nih.gov/articles/PMC4506253/
